Chemical Reactor Design (CSTR / PFR) Calculator
Chemical Reactor Design (CSTR / PFR) Calculator
Wiratama
11/16/20252 min read
1. Definition
A chemical reactor is a process vessel used to carry out chemical reactions under controlled conditions. Two of the most widely used reactor types in chemical engineering are:
CSTR — Continuous Stirred Tank Reactor
Reactants are continuously fed into a well-mixed tank, and products leave at the same rate. Concentration is uniform throughout.PFR — Plug Flow Reactor
Reactants flow through a tubular reactor without back-mixing. Concentration and reaction rate change along the length of the reactor.
This calculator helps determine the reactor volume (V) required to achieve a specified conversion (X) for a first-order reaction, given flow rate, concentration, and rate constant.
2. Background Theory
First-Order Reaction Kinetics
For a first-order irreversible reaction:
A→Products
the rate law is:
−rA=kCA
where:
k = rate constant (1/s)
CA = concentration of A
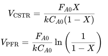
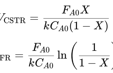
CSTR Design Equation
For a CSTR operating at steady state:


Key idea:
The concentration inside the reactor is the same as the exit concentration, because the reactor is ideally mixed.
PFR Design Equation
For a plug flow reactor:


Key idea:
The reaction proceeds along the length of the reactor, and concentrations vary continuously.
Comparison Between CSTR and PFR
CSTR requires larger volume than a PFR for the same conversion (for first-order reactions).
PFR is more efficient, especially at high conversion.
CSTR provides uniform conditions, useful for heat transfer or multiphase mixing.
3. How the Calculator Works
Step 1 — User Inputs
The calculator accepts:
Reactor type: CSTR or PFR
Feed molar flow rate (Fₐ₀)
Initial concentration (Cₐ₀)
Rate constant (k)
Desired conversion (X)
Step 2 — Select the reactor model
Depending on the dropdown selection:
If CSTR, the calculator uses the CSTR design equation.
If PFR, the calculator uses the PFR design equation.
Step 3 — Compute required reactor volume
Based on the chosen reactor type, the program evaluates one of:


Step 4 — Display Results
The calculator outputs:
Reactor Type (CSTR or PFR)
Required Reactor Volume (m³)
Conversion achieved
The results help in early-stage chemical process design, feasibility studies, and academic reactor design calculations.
