Chilled Water Pipe Calculator
Blog post description.
Wiratama
11/16/20252 min read
1. Definition
A chilled water pipe sizing calculator determines the correct pipe diameter for a given chilled water (CHW) flow rate. Proper pipe sizing ensures acceptable water velocity, minimizes noise and erosion, reduces pumping energy, and maintains coil performance.
2. Background Theory
Chilled water flow rate determines the required cross-sectional area of the pipe:


Where:
Q = volumetric flow rate (m³/s)
V = allowable velocity (m/s)
Velocity limits are based on HVAC best practices:
1.5 m/s → low noise systems, hospital applications
2.0 m/s → standard chilled water distribution
2.5 m/s → space-constrained systems
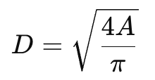
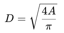
Once area is known:


The calculator compares required diameters with standard nominal pipe sizes and selects the smallest size that keeps velocity under the chosen limit.
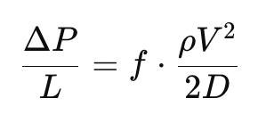
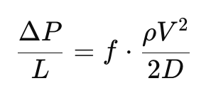
Friction Loss Estimate
Friction is estimated using the Darcy–Weisbach equation:


Where:
f = laminar (64/Re) or Blasius turbulent correlation
ρ = water density
D = pipe diameter
3. How the Calculator Works
User enters chilled water flow in L/s.
User selects maximum allowable velocity (m/s).
Calculator loops through standard pipe sizes and computes velocity for each.
The first size that satisfies the velocity limit is chosen.
Reynolds number, friction loss, and total pressure drop are calculated.
Outputs include selected pipe size, velocity, Re, and friction loss.
This gives a practical, fast preliminary sizing tool for hydronic engineers.
While this calculator provides a fast way to size chilled water pipes and estimate friction losses, real hydronic systems often involve multiple branches, balancing valves, parallel coils, dynamic flow behavior, and thermal interactions that cannot be captured by simple formulas. For deeper analysis of water-side flow distribution, pump performance, temperature gradients, and system balancing, tensorHVAC-Pro offers a dedicated HVAC-focused flow and thermal simulation environment. Built for HVAC engineers—not CFD experts—tensorHVAC-Pro allows you to visualize real system behavior and optimize your CHW circuits with engineering-grade accuracy.


