Column Buckling Calculator
Column Buckling Calculator
Wiratama
11/15/20252 min read
Column Buckling – Definition
Column buckling refers to the sudden sideways deflection of a structural column when subjected to an axial compressive load. It is a stability failure, not a material failure, and typically governs the design of long, slender compression members in steel, concrete, wood, and composite structures.
Background Theory
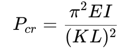
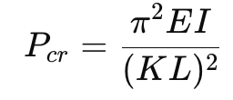
1. Euler’s Buckling Load
For long, slender columns that behave elastically, the critical load causing instability is given by Euler’s formula:


Where:
EEE = Modulus of elasticity
III = Minimum moment of inertia
LLL = Unsupported column length
KKK = Effective length factor
2. Effective Length Factor (K)
The end condition of a column affects its buckling strength by changing its effective length:


Smaller K → shorter effective length → higher buckling capacity.
3. Moment of Inertia (I)
Buckling always occurs about the weaker axis, so the minimum moment of inertia (Imin) must be used.
A column with a larger I is more resistant to buckling.
4. Slenderness Ratio


Where r=(I/A)^0.5r is the radius of gyration.
High slenderness → buckling dominates.
Low slenderness → material yielding may govern.
How the Calculator Works
Step 1 – User Inputs
Column length
Elastic modulus
Cross-section moment of inertia
End condition (pinned, fixed, free combinations)
Step 2 – Convert Units
All values are converted into consistent units (N, mm, mm⁴).
Step 3 – Compute Effective Length


Step 4 – Compute Euler Critical Load


The output is displayed in kN for practical engineering use.
Step 5 – Output
The calculator provides:
Critical buckling load (Pcr)
Interpretation as the Euler elastic buckling capacity
This allows engineers to size compression members quickly, screen preliminary designs, and check slenderness-controlled failures.
