Composite Lamina Matrixes and Transformations Calculator
In composite materials, stress and strain calculations involve transforming between global (macroscopic) and local (material-axis) coordinate systems.
Wiratama
11/7/20252 min read
Matrices and Transformation for Composite Material
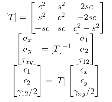
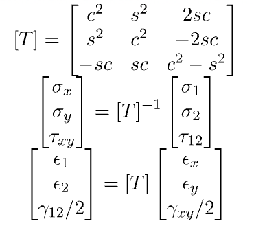
In composite materials, stress and strain calculations involve transforming between global (macroscopic) and local (material-axis) coordinate systems. The following matrices play key roles in these transformations:
Transformation Matrix [T]: This matrix is used to relate stresses and strains between the global and local coordinate systems of a composite lamina. Given an angle θ, which represents the orientation of the fibers, the transformation matrix [T] uses cos(θ) and sin(θ) to convert global stresses (σx,σy,τxy) into local stresses (σ1,σ2,τ12) and vice versa.




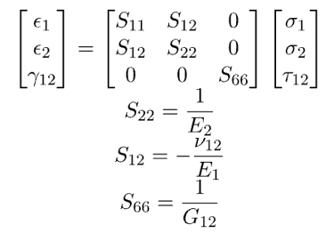
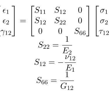
Compliance Matrix [S]: This matrix represents the material’s response in terms of strains per unit stress. In composites, the compliance matrix is often anisotropic, meaning it has different properties along different axes. The components of [S] reflect the elastic properties of the composite material along its principal directions.


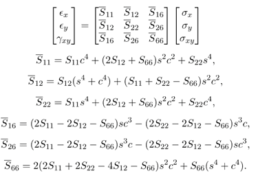
The transformed reduced compliance matrix, denoted as [Sˉ], is used to express the compliance properties of a composite lamina when it is oriented at an angle θ to the global coordinate system. This matrix allows us to calculate strains in the global coordinates when the material’s principal axes are rotated.


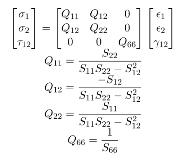
Reduced Stiffness Matrix [Q]: The inverse of the compliance matrix, the reduced stiffness matrix [Q] relates stresses to strains directly within the local coordinate system. It provides the stiffness properties of the composite in the fiber direction, transverse direction, and shear.


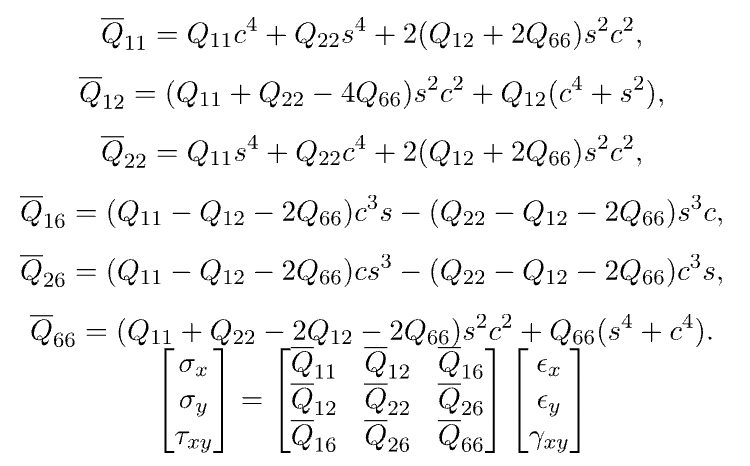
Transformed Reduced Stiffness Matrix [Q̅]: This matrix is used when layers in a composite laminate have fibers oriented at various angles. [Q̅] combines the stiffness properties and transformation for a particular ply angle, allowing the calculation of stresses and strains in laminates with multiple orientations.


