Distillation Column Sizing Calculator
Distillation Column Sizing Calculator
Wiratama
11/16/20252 min read
1. Definition
A distillation column is a mass transfer device used to separate liquid mixtures based on differences in volatility. It achieves separation through repeated vapor–liquid equilibrium (VLE) stages, allowing more volatile components to rise and less volatile components to fall.
Distillation is one of the most widely used separation processes in chemical engineering, applied in petroleum refining, chemical production, pharmaceuticals, biofuels, and many other industries.
This calculator performs early-stage distillation column sizing, estimating the number of stages, reflux ratio, column height, and diameter based on simplified engineering correlations.
2. Background Theory
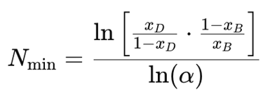
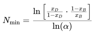
2.1 Minimum Number of Stages – Fenske Equation
The Fenske equation estimates the minimum number of theoretical stages required for a desired separation at total reflux (R → ∞):


Where:
xD: distillate mole fraction
xB bottoms mole fraction
α relative volatility
This gives the best possible stage requirement—actual columns need more stages.
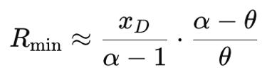
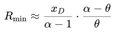
2.2 Minimum Reflux Ratio – Underwood Equation
The Underwood equation estimates the minimum reflux ratio Rmin:


(Here a typical light-key root θ≈0.5 is used as an engineering approximation.)
Actual reflux ratio usually lies in:


2.3 Actual Number of Stages – Gilliland Correlation
Using the minimum reflux ratio and minimum stages, the Gilliland correlation estimates actual stages.


2.4 Column Height
Column height depends on:
Number of stages
Tray spacing (typically 0.45–0.6 m for tray columns)


2.5 Column Diameter – Souders–Brown Equation
Column diameter is determined by allowable vapor velocity, preventing entrainment and flooding:


where:
K = Souders–Brown constant (~0.11 m/s for sieve trays)
ρL, ρV: liquid & vapor density
Column vapor volumetric flowrate determines flow area:


3. How the Calculator Works
Step 1 — User Inputs
The calculator requires:
Feed composition
Distillate and bottoms purity
Relative volatility
Vapor & liquid density
Vapor flowrate (kmol/hr)
Tray spacing
Step 2 — Minimum Stages Calculation
The calculator applies the Fenske equation to estimate Nmin.
Step 3 — Minimum Reflux Ratio
It uses a simplified Underwood estimate for Rmin.
Step 4 — Actual Stages & Height
Using typical design ratios:
Nactual=1.8Nmin
H=Nactual×tray spacing
Step 5 — Column Diameter
The calculator:
Computes allowable vapor velocity (Souders–Brown)
Converts vapor flowrate (kmol/hr → m³/s)
Finds required cross-sectional area
Computes the column diameter
4. Applications
This simplified design tool is perfect for:
Early feasibility studies
Preliminary process design
Educational and student calculations
Quick distillation sizing before full simulation
For detailed design, rigorous VLE data, hydraulics, Murphree efficiency, and tray design should be included.
