Duct pressure drop calculator
Duct pressure drop calculator
Wiratama
11/16/20252 min read
Duct Pressure Drop Calculator — Full Description
1. Definition
A duct pressure drop calculator estimates the amount of pressure lost as air flows through a ventilation duct. This pressure loss determines the required fan static pressure and directly affects airflow delivery, energy efficiency, and system performance. Pressure drop depends on factors such as duct diameter, airflow rate, duct length, air density, and air viscosity. This calculator provides a fast way for HVAC engineers to estimate frictional pressure losses in round ducts for preliminary sizing and design evaluations.
2. Background Theory
Duct pressure loss due to friction arises from shear stress between the moving air and the duct wall. The industry-standard model for evaluating this frictional loss is the Darcy–Weisbach equation, which applies to both laminar and turbulent flow.
Air Velocity


Where:
Q = airflow rate (m³/s)
A = duct cross-sectional area (m²)
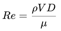
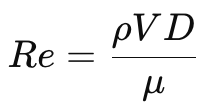
Reynolds Number
Reynolds number determines whether flow is laminar or turbulent:


Where:
ρ\rhoρ = air density
DDD = duct diameter
μ\muμ = dynamic viscosity
Laminar if Re < 2300, turbulent if Re > 4000.
Friction Factor (f)
For laminar flow:


Darcy–Weisbach Pressure Drop


This represents frictional losses only—fittings are not included.
3. How the Calculator Works
When the user inputs airflow rate, duct diameter, duct length, air density, and air viscosity, the calculator performs the following steps:
Computes duct cross-sectional area
Using the circular duct formula.Calculates air velocity
Based on airflow divided by area.Determines the Reynolds number
To classify the flow regime.Selects friction factor correlation
Laminar → 64/Re
Turbulent → Blasius correlation
Uses the Darcy–Weisbach equation to compute:
Pressure drop per meter (Pa/m)
Total pressure drop across the full duct length (Pa)
Displays results including:
Air velocity
Reynolds number
Friction factor
Pressure drop per meter
Total pressure drop
This provides HVAC engineers a quick, practical estimate for preliminary duct and fan selection.
While this calculator gives an accurate approximation of friction losses in a straight duct, real HVAC systems involve elbows, transitions, branches, diffusers, leakage, thermal effects, and complex airflow interactions that simple formulas cannot capture. To analyze the full airflow behavior across entire duct networks and visualize temperature, pressure, and velocity distributions, tensorHVAC-Pro provides a dedicated HVAC-focused flow and thermal simulation environment. Unlike general CFD software, tensorHVAC-Pro is built specifically for HVAC engineers—delivering automated workflows, HVAC-ready templates, and intuitive tools that allow you to simulate complete systems without needing CFD expertise.


