HVAC Pump Head Calculator
HVAC Pump Head Calculator
Wiratama
11/16/20252 min read
1. Definition
An HVAC pump head calculator determines the total head (in meters or feet) required for a pump to circulate water through a chilled-water, hot-water, or condenser-water loop. Pump head represents the total resistance the pump must overcome, including static elevation differences, pipe friction losses, losses through valves and fittings, and coil or heat-exchanger pressure drops.
2. Background Theory
Pump head is traditionally broken into several components:
• Static Head

The elevation difference between supply and return levels.
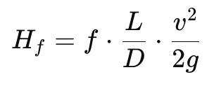
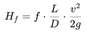
• Pipe Friction Loss
Calculated using Darcy–Weisbach or Hazen–Williams methods:


• Fitting and Valve Losses
Elbows, tees, control valves, and strainers add resistance, commonly expressed as equivalent length or loss coefficients:


• Coil / Heat Exchanger Loss
Manufacturers provide coil pressure drops at specific flow rates.
• Total Head


Pump head can be converted to an equivalent pressure:

3. How the Calculator Works
The user enters static head, pipe friction loss, fitting/valve loss, coil loss, and any other losses.
The calculator sums all contributions to compute total pump head in meters.
It converts head to feet of water for imperial pump charts.
It converts the head into pressure (kPa and psi) for pump datasheet comparison.
The results are displayed together for easy pump selection.
This provides a fast and practical way to size HVAC circulation pumps.
While this calculator provides a convenient method to estimate total pump head, real hydronic systems often involve complex flow interactions such as balancing valve behavior, parallel coil branches, dynamic load variations, and thermal effects that cannot be captured by a simple additive formula. For engineers who want to evaluate flow distribution, visualize temperature behavior in water loops, or simulate pump performance across an entire HVAC system, tensorHVAC-Pro offers a dedicated HVAC-focused flow and thermal simulation platform. Built specifically for HVAC engineers—not CFD experts—tensorHVAC-Pro makes system-level water-side simulations intuitive, accurate, and accessible.


