Mass Transfer Coefficient Calculator
Mass Transfer Coefficient Calculator
Wiratama
11/16/20252 min read
1. Definition
The mass transfer coefficient (k) quantifies how fast a chemical species moves from one phase to another due to concentration gradients. It is a key parameter in equipment such as:
Absorbers
Strippers
Distillation columns
Dryers
Packed towers
Reactors with gas–liquid interfaces
Mass transfer coefficients describe the rate of diffusion across the boundary layer on each side of the interface and are essential for designing separation and reaction processes.
2. Background Theory
Mass transfer in fluids is often described using film theory, which assumes a thin stagnant film near the interface controls mass flux. The flux is given by:


Where:
k = mass transfer coefficient (m/s)
C,A,b = bulk concentration
CA,i = interface concentration
To estimate kkk, engineers often use dimensionless correlations involving:
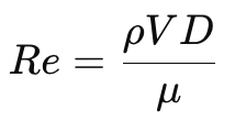
Reynolds Number


Represents the ratio of inertial to viscous forces.
Higher Re → more turbulence → higher mass transfer.
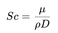
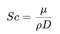
Schmidt Number


Represents the ratio of momentum diffusivity to mass diffusivity.
Sherwood Number


A dimensionless group that directly relates to the mass transfer coefficient.
General Film Theory Correlation
The calculator uses a commonly applied empirical relation for external flow:


These exponents are widely used for pipes, tubes, and external flows where convection enhances diffusion.
3. How the Calculator Works
Step 1 — User Inputs
The calculator requires:
Diffusivity D
Fluid velocity u
Characteristic length L
Fluid density ρ
Dynamic viscosity μ
Step 2 — Compute Non-Dimensional Numbers
The calculator computes Re and Sc
Step 3 — Compute Sherwood Number
Step 4 — Compute the Mass Transfer Coefficient
Step 5 — Output Results
The calculator displays:
Reynolds number
Schmidt number
Sherwood number
Mass transfer coefficient kkk
4. Applications
This calculator is useful for quick calculations in:
Gas absorption & stripping
Liquid–liquid extraction
Drying operations
Evaporation
Bubble columns & stirred tanks
Packed tower mass transfer design (with extension)
It is ideal for:
Early-stage equipment sizing
Educational use
Quick engineering estimates
