Motor Sizing Calculator
Blog post description.
Wiratama
11/15/20251 min read
Motor Sizing – Definition
Motor sizing is the process of determining the appropriate motor power required to drive a mechanical load safely and efficiently. The selected motor must provide enough torque and speed under real operating conditions, while also accounting for system losses, duty cycle, and safety margins.
Background Theory
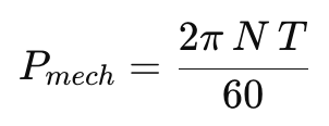
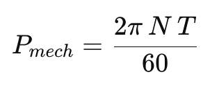
Mechanical power delivered by a rotating shaft is defined as:


Where:
T = torque (Nm)
N = rotational speed (RPM)
The motor input power must be higher than the mechanical power due to losses, represented by efficiency:


To ensure reliability, a service factor (SF) is applied:


This final value determines the minimum motor rating needed. Motor size is commonly expressed in kW or horsepower (HP)
Using correct motor sizing helps prevent overheating, reduce energy usage, and ensure long service life under varying load conditions.
How This Calculator Works
This calculator determines the required motor power by:
Accepting inputs for torque, speed (RPM), efficiency, and service factor
Calculating the mechanical power using torque and rotational speed
Adjusting for efficiency to compute the motor input power
Applying the service factor to determine the final required motor rating
Displaying results in kW and HP
This provides a quick and reliable method for choosing the correct motor size in mechanical, industrial, and automation applications.
