Refrigeration cycle COP calculator
Refrigeration cycle COP calculator
Wiratama
11/16/20252 min read
1. Definition
A refrigeration COP (Coefficient of Performance) calculator estimates how efficiently a cooling system converts electrical power into refrigeration capacity. COP is the ratio of cooling provided (kW of heat removed) to power input (kW to the compressor) and is a key performance metric in chillers, refrigerators, heat pumps, VRF units, and refrigeration plants.
2. Background Theory
• COP of a Refrigeration Cycle


Where:
QL = cooling load (kW)
Wcomp = compressor power (kW)
• Carnot (Ideal) COP
For a refrigeration cycle operating between evaporator temperature Te and condenser temperature Tc (in Kelvin):


This represents the theoretical upper limit of efficiency.
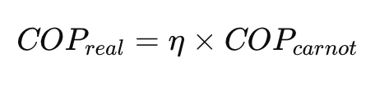
• Realistic COP
Real systems operate at a fraction of Carnot efficiency due to compressor losses, pressure drop, heat exchanger inefficiencies, and refrigerant properties.


where η\etaη is typically 0.4–0.7 for HVAC systems.
How the Calculator Works
The user enters evaporator temperature, condenser temperature, system efficiency, and refrigeration load.
The calculator converts temperatures to Kelvin.
Carnot COP is computed using the ideal thermodynamic relation.
Realistic COP is computed using the selected efficiency factor.
The required compressor power is calculated using Wcomp equation
COP values and compressor power are displayed.
This gives a fast, engineering-level estimate of refrigeration performance.
While this calculator provides a convenient estimate of refrigeration COP, real cooling systems involve complex refrigerant behavior, coil performance variations, air–refrigerant heat transfer, pressure drops, and dynamic load changes that cannot be captured by simple thermodynamic formulas. For engineers who need a deeper understanding of airflow patterns, cooling coil behavior, ventilation effectiveness, and thermal interactions in HVAC systems, tensorHVAC-Pro offers a dedicated HVAC simulation platform. Built for HVAC engineers—not CFD experts—tensorHVAC-Pro enables intuitive and accurate flow and thermal visualization across real HVAC components and systems.


