Reynold Number Calculator
Blog post description.
Wiratama
11/15/20251 min read
Reynolds Number – Definition
Reynolds number (Re) is a dimensionless parameter that indicates the flow regime of a fluid inside a pipe or around an object. It describes whether the flow is laminar, transitional, or turbulent, making it one of the most important concepts in fluid mechanics.
Background Theory
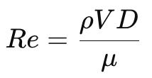
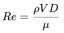
Reynolds number is defined as:


Where:
ρ = fluid density (kg/m³)
V = flow velocity (m/s)
D = characteristic length (typically pipe diameter, m)
μ = dynamic viscosity (Pa·s)
Flow regime thresholds:
Laminar: Re < 2,300
Transitional: 2,300 < Re < 4,000
Turbulent: Re > 4,000
Reynolds number compares inertial forces to viscous forces, helping assess mixing, pressure drop, and friction behavior.
How This Calculator Works
The calculator evaluates the Reynolds number by:
Taking inputs for density, velocity, diameter, and viscosity
Applying the Reynolds number formula
Displaying the resulting Re value instantly
This allows quick assessment of flow behavior for piping systems, HVAC ducts, heat exchangers, and general fluid mechanics problems.
