Steel Beam Size Selector
Steel Beam Size Selector
Wiratama
11/15/20252 min read
Steel Beam Size Selector – Definition
A steel beam size selector is a structural design tool used to determine the appropriate steel beam section based on applied loads, span length, and allowable material stresses. The goal is to choose a beam with sufficient bending strength and stiffness to safely support the required loading in buildings, bridges, and industrial structures.
Background Theory
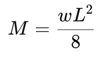
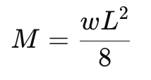
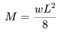
1. Bending Moment Demand
For a simply supported beam under uniform load, the maximum bending moment is:


Where:
www = uniform load (N/mm)
LLL = span length (mm)
This is the governing moment used for beam sizing.
2. Section Modulus (Strength Parameter)
The required elastic section modulus is:


Where:
FyF_yFy = yield strength of steel
ϕ\phiϕ = strength reduction factor
SSS = section modulus of the beam
A beam is considered adequate when:


Section modulus represents the beam’s ability to resist bending—larger values indicate stronger beams.
3. Steel Material Strength
Typical structural steel has a yield strength of:

The calculator uses a simplified strength φ factor to approximate LRFD-style design checks.
How This Calculator Works
Step 1 — Input
The user enters:
Span length (m)
Uniform load (kN/m)
Step 2 — Compute Maximum Moment
The calculator computes bending moment using:


Step 3 — Compute Required Section Modulus
The tool converts units and calculates:


Step 4 — Compare With Beam Database
A built-in table of W-shapes (with Sx values) is checked from smallest to largest.
The first beam with:


is selected as the recommended beam.
Step 5 — Output
The calculator returns:
Required section modulus
Suggested W-shape beam
Beam Sx capacity
This provides a quick screening tool for selecting steel beams in early-stage structural design.
