Stress Invariants Calculator
Stress invariants are fundamental quantities derived from the stress tensor that remain unchanged regardless of the coordinate system.
Wiratama
11/7/20251 min read
What is Stress Invariants
Stress invariants are fundamental quantities derived from the stress tensor that remain unchanged regardless of the coordinate system. They provide essential information about the internal state of stress in a material without depending on its orientation.
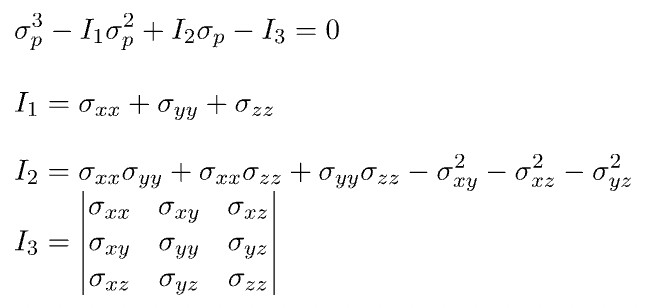
The three primary stress invariants are:
First Invariant I1: This is the sum of the normal stresses along the principal axes, representing the trace of the stress tensor. It provides insight into the mean or hydrostatic stress within the material.
Second Invariant I2: This invariant combines both normal and shear stress components. It is related to the deviatoric (distortional) stress, which can cause shape changes in the material.
Third Invariant I3: Representing the determinant of the stress tensor, I3 indicates the volumetric effects of the stress state and is associated with pure shear states and material behavior under complex loading.
Together, these invariants are widely used in engineering and material science to analyze failure criteria, yielding, and material deformation, independent of orientation.


