Stress Tensor Calculator: Octahedral, Mean, Hydrostatic, Deviatoric
Stress Tensor Calculator: Octahedral, Mean, Hydrostatic, Deviatoric
Wiratama
11/9/20251 min read
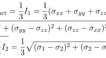
Octahedral Stress: This is the stress acting on an octahedral plane within the material (a plane equally inclined to the principal stress axes). It’s used in failure theories as it represents the combined effect of all shear stresses in the material and is an indicator of potential yielding.


Mean Stress: This is the average of the normal stresses (stress along the principal axes). It represents the overall “pressure” acting within the material and is important in assessing material fatigue.
Hydrostatic Stress: This is the component of stress that acts uniformly in all directions within the material, causing it to compress or expand without changing its shape. It’s equal to the mean stress and is significant in understanding volumetric changes in materials. The components of hydraulic stress tensor are mean stress.


Deviatoric Stress: Deviatoric stress represents the difference between the total stress and the hydrostatic stress. It’s responsible for changes in the shape of the material without changing its volume and is key in understanding material deformation and yield. Below is the deviatoric stress tensor, with m is mean.


