Wall Distance Calculator From y+
n computational fluid dynamics (CFD), y+ is a dimensionless parameter that describes the distance from the wall to the first grid cell in the boundary layer. It is crucial for accurately resolving the boundary layer and ensuring the accuracy of the simulation results.
wiratama
11/9/20252 min read
In computational fluid dynamics (CFD), y+ is a dimensionless parameter that describes the distance from the wall to the first grid cell in the boundary layer. It is crucial for accurately resolving the boundary layer and ensuring the accuracy of the simulation results.
Definition and Importance of y+
Definition: y+ is defined as:
y+ = y⋅Uτ/ν
where:
y is the physical distance from the wall to the center of the first grid cell (i.e., the grid spacing in the wall-normal direction).
Uτ is the friction velocity (also known as the wall shear stress velocity).
ν is the kinematic viscosity of the fluid.
Importance: The y+ value helps determine whether the grid is fine enough to accurately capture the boundary layer near the wall. This is important for resolving the flow structure and ensuring that the turbulence model is applied correctly.
Key Points About y+
Boundary Layer Resolution:
For accurate boundary layer resolution, the grid spacing should be such that y+ falls within a specific range. This ensures that the near-wall region is resolved correctly and that the turbulence model used in the simulation operates within its valid range.
Typical y+ Ranges:
Laminar Flow: In laminar boundary layers, the first cell’s y+ should ideally be very small (often y+ < 1).
Turbulent Flow: For turbulence modeling, different turbulence models require different y+ ranges:
Standard Wall Functions: Typically, y+ should be between 30 and 300.
Low-Reynolds Number Models: Typically, y+ should be less than 5 to 10, with the grid sufficiently fine to resolve the viscous sub-layer.
Wall Functions:
High y+: If y+ is high (e.g., greater than 30), wall functions are often used to estimate the near-wall behavior without resolving the viscous sub-layer explicitly.
Low y+: If y+ is low (e.g., less than 5), the grid must be sufficiently fine to resolve the near-wall region accurately, and the turbulence model can be applied more directly.
Friction Velocity (Uτ):
Friction velocity Uτ is calculated using the wall shear stress τw:Uτ=(τw/ρ)^0.5where ρ is the fluid density. If wall shear stress is not directly available, it might be estimated from other flow characteristics or boundary conditions.
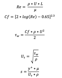
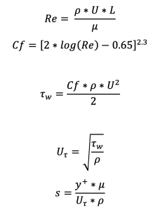
Equation to Estimate y+
The y+ value is often too complicated to exactly calculate due to the complex mathematical definition of friction velocity, on the other hand, in daily CFD simulation, we just have to estimate the coarse value of it as an initial guess then we can refine it; hence, we will use simple estimation from flat-plate boundary layer approximation:
With:
Re = Reynold number
U = Free stream velocity (m/s)
Cf = Friction coefficient
s = wall spacing (m)
You can use the s value as the first layer thickness of your mesh to obtain your desired calculation accuracy and speed.
Note: The equation for Cf is approximation for Re < 1E+9 [1], values beyond this range must be carefully evaluated. The Cf equations are widely available with different conditions and Reynold number ranges, but for initial guess, the above equation should be sufficient. Ref: [1] Schlichting, Hermann (1979), Boundary Layer Theory, ISBN 0-07-055334-3, 7th Edition.


